목차
Why negotiate?
Positive sitation:
- Win-win opportunities
- Short term relations (buying car, bike, etc...)
- Long term relations
Opposing interests, but also:
- Power play (or war) will not lead to a solution (전쟁 등이 해결책으로 이어지지는 않음)
- All parties need a solution (common interest)
- All parties need to at least pretend to be willing
Definitions (외워야 함)
Party or Stakeholder - someone that has a stake in the outcome of the negotiation (in the negotiation, or affected by the negotiation) - 당사자
Mediator- someone that has no stake in the outcome of the negotiation, guards the negotiation process, aims for a fair outcome to all parties - 중재인
Issue - something that the parties need to agree on for a successful negotiation
Open, closed or in between:
- Open: all parties provide full insight in their preferences and interests (telling all the reasons) → no rule on who should be open or how open you should be (다 까놓고 협상)
- Closed: only bids are exchanged (no insight, reason, etc...)
What kinds of Negotiations exist?
Number of parties:
- 1 on 1
- 1 on m (e.g. auction)
- n on m
Number of issues
- 1
- N > 1
Bilateral Negotiation (양자 협상)
Negotiation between two parties (파티 두 개)
- E.g. A buyer and seller negotiate over cost and delivery time

Multiple bilateral negotiation
One party may negotiate with different parties simultaneously e.g. one buyer negotiates with multiple sellers
→ 1 대 다
The negotiation with one party may have an influence on the negotiation with another party.

Multilateral Negotiation (다변적 협상)
Negotiation among more than two parties
All particles mutually agree on the final decision / offer
- E.g. A group of service providers would like to give a service together and they need to mutually agree on some issues.

Positional Bargaining (입장적 협상)
Holding a fixed position of what you want regardless of any underlying interest.
입장적 협상: 자신의 입장을 정하고 이를 고수하기 위해 상대방을 설득하거나 상대방의 입장과 조율하는 협상.
Principles for a Good Negotiator
Principle 1: Buid trust through mutual understanding and meaningful communication
- Ensure that all parties are identified and represented
- Develop understanding through active listening
Principle 2: Focus on revelaling underlying interests rather than positions
- Adopt consensual (대체로 동의하는) negotiation style, not a positional → 입장 고수만 하지 않기.
- Identify peoples underlying concerns, fears, motivations, deadlines, aspirations & values
- Create room to explore a wide range of options
Principle 3: Widen the options for finding a solution
- Use creativity and engagement in joint problem solving
- Apply brainstorming techniques
- Assess the uncertainty and risks arising from the proposed solution
Principel 4: Reach agreement that satisfies interests and adds value for all parties
- Ensure that parties implement commitments
- Incorporate a grievance (불만) mechanism to address concerns over implementation
- Evaluate resulting relationships and outcomes
Phases of Negotiation

1. Private Preparation
- Why you need this negotiation, what you know about it (domain modelling)
- Alternatives (if not from this person, go to a different seller)
2. Joint exploration
-- preferences(
3. Bidding
- you have to evaluate your bid, analysize bid
4. Closing
Definitions (외워야 됨)
Position: the first demand of a party, often vocal and self-centered.
Interest: the deeper motivations underlying a party's position, and which offers greater room to explore a range of options from which to compile a solution that satisfies the most number of parties.
Preference profile: the preferences an agent has regarding the possible outcomes of the negotiation. These refer to the importance of issues, but also to the values per issue. Preference profiles can be qualitative or quantitative.
Bid: for a set of issues of the negotiation attach a proposed value.
→ Partial bid: not all issues are assigned a value
→ Complete bid: all issues are assigned a value. To find the best possible outcomes, you are advised to only bid complete bids.
Utility function: a quantitative representation of a preference profile. It maps bids to utility values e.g. range [0, 1]. Typically utility functions are only defined for complete bids.
Reservation value: in terms of utility, it is a utiltiy value below which bids are unacceptable. Each party should determine its reservation value. → 협상자가 협상을 중단하는 지점
BATNA: Best Alternative To No Agreement - If the negotiation fails, this is what you can fall back on.
- The better your BATNA, the higher you can set your reservation value. (다음 선택지가 더 좋을수록 강경한 태도 가능)
- The better your BATNA, the more relaxed you will be, the easier it will be to be creative, to think out of the box (
Open and Not Open
Being Open in a Negotiation:
- Putting all your cards on the table, sharing all information
- Outcome can be checked for fairness but danger of exploitation by other party
Not Being Open in a Negotiation:
- Keep all your cards to yourself, not sharing any information.
- Outcome cannot be judged for fairness (how to reach a win-win outcome?)
Negotiation Styles

hard intersts - dont give on your interests (don't be open)
Power - you have power, use it
Climate: don't be hostile, but dont be jovial either (아주 쾌활한). 중립 분위기 유지
Be flexible - explore the options
Analysis of Negotiation Results
How do you rate a bid?
- Balance betweenwhat you give and take
- Utility: grade between 0 and 1
Comparing results
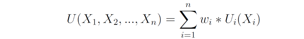
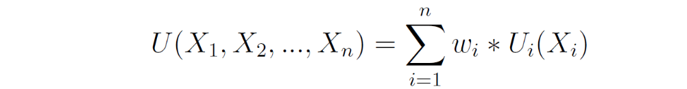
Utilty: Determine the Value of a Bid
Utility is determined as a weighted sum of the evaluation values of each issue.

Example)



이 값들을 Result Space로 시각화. 이러면 Pareto Frontier 구해서 비교 가능.

How well did you do

여기서 알아야 할 점들은:
- Kalai-Smorodinsky Point (U_buyer = U_seller) - 대각선과 같은 점
- Nash Product = max (U_buyer * U_seller)
Definitions (외워야 함)
Let Ua and Ub be the utility functions of party A and party B. Both functions are defined on the domain D of all possible bids that the agents can make, mapping D to the range [0, 1]. Thus,

The Pareto Optimal Frontier is the set of bids, such that there is no other bid that is better for at least one party, without making things worse for the other parties.
Nash Product: the bid (or bids) that maximizes the product of utilities of the parties, under the assumption that all utility values are positive. If that is not the case, you have to transpose the utility space to positive values.
The equal proportion of potential line (EPP): line from (0, 0) to (1, 1).
Kalai-Smorodinsky: maximizes the minimum of the utilities of the parties. To be found at the intersection of POF and EPP, i.e. the bid closest to that intersection.
'학교 > CAI' 카테고리의 다른 글
| Lecture 10: Automated Negotiation (0) | 2024.03.27 | 
|---|---|
| Lecture 9: Negotiation Formalization (1) | 2024.03.27 | 
| Lecture 7: Computational Coalition Formation (5) | 2024.03.06 | 
| Lecture 6: Social Choice Part 2 (0) | 2024.03.03 | 
| Lecture 5: Computational Social Choice Part 1 (0) | 2024.03.03 | 
										
									
										
									
										
									
										
									
댓글